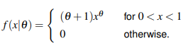
1. (a) Suppose X1,X2,...,Xn are independent and identically distributed (i.i.d.) with probability density function
(i) Find E(X1).
(ii) From the above or otherwise, find a method of moments estimator (MME) for θ.
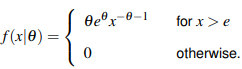
(b) Suppose X1,X2,...,Xn are independent and identically distributed (i.i.d.) with probability density function
(i) Write down the likelihood function of θ given the data X1,...,Xn.
(ii) Obtain the maximum likelihood estimator (MLE) of θ.
(c) Suppose X1,X2,...,Xn are independent and identically distributed (i.i.d.) Poisson (λ) random variables with probability mass function
(i) Find P(X1 = 0).
(ii) State E(X1). (No derivation is required).
(iii) Obtain a method of moments estimator (MME) for λ.
(iv) From the above or otherwise, obtain a method of moments estimator (MME) for P(X1 = 0).
(d) Suppose X1,X2,...,Xn are independent and identically distributed (i.i.d.) with probability density function
Here θ > 1.
(i) Write down the likelihood function of θ given the data X1,...,Xn.
(ii) Derive the Cramer-Rao lower bound (CRLB) for the variance of an unbiased estimator of θ.
(e) Two sets of data have been collected on the number of hours spent watching sports on television by some randomly selected males and females during a week:
Males 7 13 33
Females 27 24 16 15
Assume that the number of hours spent by the males watching sports, denoted by Xi , i = 1,2,3, are independent and identically distributed normal random variables with mean µ1 and variance σ 2 . Also assume that the number of hours spent by the females, Yj , j = 1,2,3,4, are independent and identically distributed normal random variables with mean µ2 and variance σ 2 . Further, assume that the Xi ’s and the Yj ’s are independent. Note that
Test for H0 : µ1 = µ2 against H1 : µ1 6= µ2 at 5% level of significance.
Students succeed in their courses by connecting and communicating with an expert until they receive help on their questions

Consult our trusted tutors.