Suppose, we add a constraint that the L2-distance between w and a prior weight
Ask Expert

Be Prepared For The Toughest Questions

Practice Problems

Suppose, we add a constraint that the L2-distance between w and a prior weight

4. Lagrangian and Dual:

Part 1: Let us start with Linear Regression. Recall that the loss function of linear regression is


Suppose, we add a constraint that the L2-distance between w and a prior weight vector w0 is less than k – i.e. suppose we have some reason to believe that the weight vector should be close to w0. How can you pose this as an optimization problem? What is the Lagrangian formulation? Can you put down the steps involved to get the dual? It may be a little difficult to exactly write down the dual, but even if you can write down the steps involved, you will get the points.

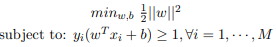
Part 2: Let us do this for SVM. For simplicity, let us consider linear separability. Recall that the SVM formulation becomes:


Similar to part 1, what if we add the constraint that the L2-distance between w and a prior weight vector w0 is less than k? How can you pose this as an optimization problem? What is the Lagrangian formulation? Obtain the dual solution from the Lagrangian. 

Hint
ComputerAn optimization problem is the problem of finding the best solution from all feasible solutions.  A problem with continuous variables is known as a continuous optimization, in which an optimal value from a continuous function must be found....

Know the process

Students succeed in their courses by connecting and communicating with
an expert until they receive help on their questions

1
img

Submit Question

Post project within your desired price and deadline.

2
img

Tutor Is Assigned

A quality expert with the ability to solve your project will be assigned.

3
img

Receive Help

Check order history for updates. An email as a notification will be sent.

img
Unable to find what you’re looking for?

Consult our trusted tutors.

Developed by Versioning Solutions.