Q1)
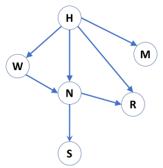
Weather conditions influence the production of good quality coffee in a region. A list of factors that influence the coffee cultivation, along with their possible values, and a Bayesian network that represents the relationship between these factors (variables) are given below.
M (Maximum Temperature) ∈ { < 20, 20-30, 30-40, > 40 }
N (Minimum Temperature) ∈ { < 0, 0-10, 10-20, > 20}
W (Wind speed) ∈ {Low, Medium, High}
H (Relative humidity) ∈ {< 50, 50-60, > 60}
R (Precipitation) ∈ {Low, High}
S (Solar radiation) ∈ {Low, Medium, High}
1.1) Write down the joint distribution P(H, W, N, M, R, S) for the above
network.
1.2) Find the minimum number of parameters required to fully specify the distribution according to the above network.
1.3)
a) Write down a joint probability density function if there are no independence among the variables is assumed.
b) How many parameters are required, at a minimum, if there are no independencies among the variables is assumed?
c) Compare with the result of the above question (Q1.2) and comment.
1.4) d-separation method can be used to find two sets of independent or conditionally independent variables in a Bayesian network. For each of the statements given below from (a) to (c), perform the following:
• List all the possible paths from the first (set of) node/s to the second (set of) node/s.
• State if each of those paths is blocking or non-blocking with reasons.
• Hence, mention if the statement is true or false.
a) M ⊥ S | ∅ (M is marginally independent of S)
b) W ⊥ R | (N, H} (W is conditionally independent of R given {N, H})
c) ( R, S) ⊥ W | H
1.5) Write a R-Program to produce the above Bayesian network, and perform the d-separation tests for all of the above cases mentioned in Q1.4 (a) to (c). Show the plot of the network you obtained and the output (of d-separation test) from your program.
1.6)
a) Show the step by step process to perform variable elimination to compute P(W | S =LOW, R = LOW). Use the following variable ordering for the elimination process: N, H, M.
b) What is the treewidth of the network, given the above elimination ordering?
Students succeed in their courses by connecting and communicating with an expert until they receive help on their questions

Consult our trusted tutors.