A type of network router has a bandwidth total to first hardware failure
Ask Expert

Be Prepared For The Toughest Questions

Practice Problems

A type of network router has a bandwidth total to first hardware failure

Task 3: Transformed Random Variables

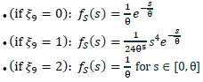
A type of network router has a bandwidth total to first hardware failure called S expressed in terabytes. The random variable S is modelled by a distribution whose density is given by one of the following functions:


with a single parameter θ. Consider the bandwidth total to failure T of the sequence of the two routers of the same type (one being brought up automatically when the first is broken).

Express T in terms of the bandwidth total to failure of single routers S1 and S2. Formulate realistic assumptions about these random variables. Calculate the density function of the variable T.

Given an experiment with the dual-router-system yielding a sample T1, T2, …, Tn, calculate the likelihood function for θ. Propose a transformation of this likelihood function whose maximum is the same and can be computed easily.

An actual experiment is performed, the infrastructure team has obtained the bandwidth totals to failure given by the sequence ξ10 of numbers. Estimate the model-parameter with the maximum likelihood and compute the expectation of the bandwidth total to failure of the dual-router-system.

Hint
Statistics" In statistics, a random variable is a variable whose value is subject to uncertainty or randomness. Random variables are used to model and analyze uncertain phenomena in various fields, such as finance, engineering, and biology. There are two main types of random variables: discrete random variables and continuous random variables.Discrete Random Variable:A discrete random variable is ...

Know the process

Students succeed in their courses by connecting and communicating with
an expert until they receive help on their questions

1
img

Submit Question

Post project within your desired price and deadline.

2
img

Tutor Is Assigned

A quality expert with the ability to solve your project will be assigned.

3
img

Receive Help

Check order history for updates. An email as a notification will be sent.

img
Unable to find what you’re looking for?

Consult our trusted tutors.

Developed by Versioning Solutions.