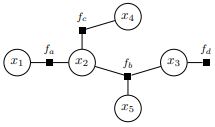
5. Assume that you know all functions in this factor graph on categorical variables X = {x1, x2, x3, x4, x5}:
(a) Set up and show in step-by-step detail (using equations) an efficient calculation of the marginal probabilities of each variable using the Sum-Product Algorithm. Take variable x1 to serve as the root variable.
(b) Suppose that a new, known factor fe is added to the graph which (only) connects variable nodes x3 and x4. Is the resulting factor graph a tree? Modify your solution in part (a) to determine P(x2). Hint: Think about how you would modify Homework Problem 4.2 (Bishop 5.2) to handle the Sum-Product Algorithm.
(c) Consider again the Chest Clinic BN of Problem 1 above. Assume that the value of a is observed (known) for a given patient.
i. Draw the Factor Graph for the Chest Clinic BN of Problem 1 given knowledge of (evidence on) the value of a. Be sure to give the factor-graph factors in terms of the Chest Clinic BN conditional probabilities. Is this evidence-conditional factor graph a tree?
ii. Describe in words how you would determine the probability of variable d given knowledge of
(evidence on) a using the Sum-Product Algorithm on a factor graph. Although you don’t
have to describe the algorithm in step-by-step detail, you must draw the appropriate factor
graph giving the appropriate factor-graph factors in term of the Chest-Clinic conditional
probabilities and give your verbal description referencing that factor graph. In particular,
specifically mention all initialization nodes and the root node when describing your algorithm.
Students succeed in their courses by connecting and communicating with an expert until they receive help on their questions

Consult our trusted tutors.