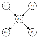
3. Consider this BN for five finite-valued random variables:
(a) Is this graph multiply-connected? What kind of graph is it? (Give the most fully descriptive answer possible and explain/justify your answers.)
(b) Give the most detailed factorization for the probability distribution that is encoded in the DAG.
(c) Draw an undirected factor graph (FG) for the DAG such that the number of factor nodes is a maximum. Give the FG factors in terms of the factors found in the previous part.
(d) Let nodes x1 and x2 be instantiated evidence nodes. Using any appropriate algorithm
that works, construct a recursive procedure to compute the most probable sequence of values
x4—x3—x5 given the evidence.4
Important: Be sure to state every step of your algorithm (including initialization) in terms of the
factors found in Part (b). At the end, in terms of those factors, your algorithm should give each
of the values in the optimal (most probable) sequence x4—x3—x5 and the (optimal) probability
of that sequence being the case.
Students succeed in their courses by connecting and communicating with an expert until they receive help on their questions

Consult our trusted tutors.